Altillo.com > Exámenes > UBA - CBC > Matemática
|
Matemática |
1º Parcial |
Cátedra: Gutiérrez | Sede Ciudad |
1° Cuat. de 2006 |
Altillo.com |
LAS RESPUESTAS ESTAN EN EL INFERIOR DE LA PÁGINA:

RESPUESTAS:
1)
2)
Conjunto de Ceros:
Intervalo de Positividad:
Intervalo de Negatividad:
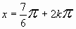
3)![]()
![]()
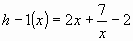
4)
a = 2, (Valor Máximo = 0)
Valor de x para los que la función alcanza el valor maximo:
![]()