Altillo.com > Exámenes > UBA - CBC > Matemática
|
Matemática |
Final |
1° Cuat. de 2006 |
Altillo.com |
Multiple Choice.En cada punto, habían opciones.
1)![]()
2).
![]()
3). Averiguar la ecuación de f, cuya
,
y que hace verdadera
.
4). Hallar el valor de
cuando
![]()
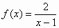
5). Cuál es la
de f(x)
6). Hallar la ecuación de la recta
que
pasa por los puntos
y
.
7). Cuál es la distancia entre los puntos (5,0) y (3,-2).
8). Representar el conjunto
![]()
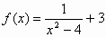
9). Calcular todas las asíntotas de la función
![]()
10). Cuál es el dominio de la ecuación
![]()
11). Averiguar cuál es la función de la parábola que tiene su vértice en el punto (2,-3) y que pasa por (1,6)
12). Hallar la función
teniendo en cuenta que
,
y
,
y que su
.
13). Determinar el intervalo de crecimiento de
,
sabiendo que
![]()
14). Hallar el valor de K
que verifica que
![]()
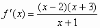
15). Cuál es la derivada de
![]()
16). Los máximos y mínimos de la función
,
cuya
son:
17). Calcular
,
sabiendo que
![]()
18). Averiguar el área de la región comprendida entre
y
![]()
Además había 2 ejercicios más:
-Una función (que no anoté) para integrarla y que estaba elevada a
![]()
- Una función cuadrática de la cual había que sacar su área y que estaba
encabezada por el símbolo
![]()