Altillo.com > Exámenes > UBA - CBC > Matemática
|
Matemática |
2º Parcial |
1° Cuat. de 2005 |
Altillo.com |
1) Sea f(x)=(X3 -3X2 +6 )1/2. Hallar la ecuación de la recta tangente a f(x) en X0=1.
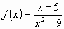
2) Sea
. Hallar Dominio de f(x), ecuaciones de las asíntotas, máximos y mínimos relativos, intervalos de crecimiento y decrecimiento y hacer un gráfico aproximado.
3) Calcular:
dx
4) Hallar el área encerrada por las curvas y=X2 + 3 ; y= -X2 + 3 para X perteneciente al intervalo [-1;2].