Altillo.com > Exámenes > UBA - CBC > Matemática
|
Matemática |
1º Parcial |
Cátedra : Gutiérrez | Sede Drago |
1° Cuat. de 2004 |
Altillo.com |
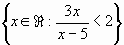
1) Escriba como intervalo o conjunto de intervalos
.
2)Hallar fórmula de la función cuadrática cuyo grafico tiene vértice en (2;-3) y pasa por el punto (4;2).
3)Dada f(x)=2x-3 ; g(x)=
; h(x)=fog(x). Hallar h(x) y sus asintotas.
4)Sea f(x)=
Hallar f–1 , su dominio e imagen.