Altillo.com > Exámenes > UBA - CBC > Matemática

Matemática

2º Parcial

Sede Ciudad

7 / 7 / 2003

Altillo.com

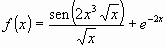
1) Sea f(x)= . Hallar la pendiente de la recta tangente al grafico de f en el punto de abscisa Xo =1.

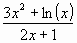
2) Sea f(x)= . Hallar dominio, ecuaciones de las asintotas, intervalos de crecimiento y decrecimiento, máximos y mínimos locales. Hacer, con la información obtenida, un grafico aproximado de f.

3) Calcular una primitiva de .

4) Calcular el área de la región del primer cuadrante encerrada por los gráficos de las funciones f(x) = -x²+9 y g(x)= -x²+4.


Respuesta:

1) f ' (1)= 5/3
y = 5/3 x ec. de la recta tg.

2. Dom(f) = R - (0, -3) 
X= 3/2
y = o es AH // X = -3 es AV