Altillo.com > Exámenes > UBA - CBC > Matemática

Matemática

2º Parcial

Sede Ciudad

7 / 7 / 2003

Altillo.com

1) Sea f(x)=ln(x²-8)+5. Hallar la ecuación de la recta tangente al gráfico de f en el punto de abscisas x=3

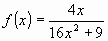
2) Sea  Hallar las ecuaciones de las asíntotas, los máx y mín relativos y los intervalos de crecimiento y decrecimiento de f. Hacer, con la información obtenida, un gráfico aproximado de f.

3) Calcular

4) Calcular el área e la región encerrada por las curvas:
y = x²+9 ; y = -x²+9 ; x = 4


Respuesta:

1) y=6x-13

2) AH: y=0 ; crecimiento: (-¾;0)U(0;¾); decrecimiento: (-oo;-¾)U(¾;+oo)

3)

4) Área= 128/3