Altillo.com > Exámenes > UBA - CBC > Matemática

Matemática

1º Parcial

Sede Ciudad

21 / 5 / 2003

Altillo.com

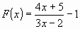
1) Sea . Hallar las ecuaciones de todas las asíntotas de f, calculando los limites correspondientes.

2) Sean f(x) = ax²-5 y g(x)= -9x+1. Calcular el valor de a para el cual los gráficos de f y de g se cortan en un punto de abscisa 2. Para dicho valor de a calcular las coordenadas de todos los puntos donde f(x) = g(x).

3) Sean f(x)= (x + 3) (2 – x) y g(x)= -2x -1. Encontrar los ceros y los intervalos de positividad y negatividad de fog.

4. Determinar los ceros de en (-2π ; 2π).


Respuestas:

1) A.H = 1/3
A.V = 2/3

2) a = -3
P = (1 ; - 8)
Q = (2 ; - 17)

3) Ceros = { - 3/2 ; 1 }
Positividad = ( - 3/2 ; 1 )
Negatividad = ( - inf ; - 3/2 ) U ( 1 ; + inf )

4) Ceros = { - 5π / 2 ; - π / 2 ; 3 π / 2 ; 7 π / 2 }