Altillo.com > Exámenes > UBA - CBC > Matemática
|
Matemática |
1º Parcial |
Sede Ciudad |
21 / 5 / 2003 |
Altillo.com |
1) Dar la ecuación de la recta que pasa por P =(1, -3) y por el vértice de y =5(x + 1)² + 2. Decidir si el punto Q =(1,2) pertenece a la recta.
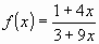
2) Dada la función
dar las ecuaciones de las asíntotas y los puntos P y Q donde las asíntotas cortan a los ejes y la distancia entre P y Q.
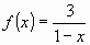
3) Sean
y g(x) =3x - 1. Hallar H(x) =fog y H¯¹(x)
4) Sea f:
. ƒ(x) = a.cos(x-p) - 1. Determinar que a pertenece a los reales de manera que ƒ(5/3 p) =2. Para el valor hallado de a, dar la Imagen ƒ.