Altillo.com > Exámenes > UBA - CBC > Matemática
|
Matemática |
Recup. 1º parc. |
1º Cuat. de 2001 |
Altillo.com |
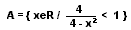
1) Escribir el conjunto
como intervalo o como unión de intervalos.
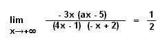
2) Determinar el valor de a para que
3) Sea
Determinar el dominio de
y calcular 
4) Hallar todos los ceros de 