Altillo.com > Exámenes > UBA - CBC > Matemática
|
Matemática |
1º Parcial |
Sede Ciudad |
1º Cuat. de 2001 |
Altillo.com |
En cada ejercicio escriba los razonamientos que justifican la respuesta.
Ejercicio 1: Un auto comprado hoy en $10500 disminuye su valor linealmente a
lo largo del tiempo transcurrido a partir de su compra. Si al cabo de 3 años de
uso su precio será de $7700.
a) Hallar la fórmula que expresa el precio (p) en función del tiempo (t).
b) ¿A cuánto podrá venderlo luego de 4 años de uso?
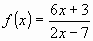
Ejercicio 2: Hallar el dominio, los cerros, los intervalos de positividad y
de negatividad de la función:
.
Ejercicio 3: Sea f(x) = (x +8)2 + k. Determinar k Î R de manera que Im f = [-1; + ¥). Para el valor de k hallado, determinar los intervalos de crecimiento y decrecimiento de f.
Ejercicio 4: Resolver (cosx)2 –1/6= 0 en el intervalo [1; 2p].