Altillo.com > Exámenes > UBA - CBC > Matemática
|
Matemática |
Final |
Catedra: Hansen |
2001 |
Altillo.com |
1)Un automóvil viaja rectilíneamente, encontrar el intervalo donde el auto
está avanzando en forma positiva. t3-6t2-9t+14
a) T<-1
b) T<-1 y t>3
c) t>3
d) Ninguna de las anteriores.
2) Si f’(x)=g’(x) y f(1)=-1, f(3)=
1 y g(1)=3 ¿Cuánto vale g(3)?
a) 1
b) faltan datos para resolverlo
c) 5
d) ninguna de las anteriores
3) ∫0ax3
√1-x2 dx=0
a) a=1 y a=5/3
b) a=0 y a=1
c) a=0 y a=5/3
d) Ninguna de las anteriores
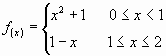
4) 
a) No tiene máximos ni mínimos
b) Tiene un máximo y un mínimo
c) Tiene dos mínimos locales y ningún máximo
d) Ninguna de las anteriores
5) g(x)=f(x+3) y f(x)=ln │x│Continua.
¿Cuál
es el dominio natural de g(x)?
a) (-∞;-8)
b) (-∞;-8) (2;+∞)
c) (2;+∞)
d) Ninguna de las anteriores
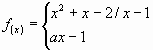
6)

Continua en f(3)=?
a) 4
b) 11
c) 5
d) Ninguna de las anteriores
7) Una función decreciente:
a) Es inyectiva
b) Es sobreyectiva
c) Es biyectiva
d) Ninguna de las anteriores
8) Sabiendo que g(x)=[f(x)]3 y suponiendo que conocemos donde crece, decrece y sus máximos y mínimos ¿Qué podemos decir de la función g(x)?
Respuestas
