Altillo.com > Exámenes > UBA - CBC > Matemática
|
Matemática |
1º Parcial |
1º Cuat. de 2000 |
Altillo.com |
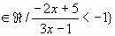
1) Escribir como intervalo o como unión de intervalos el conjunto A = { x 
3) Un video club ofrece dos opciones para alquilar videos:
Opción A: $ 20 de abono anual más $2,5 por video alquilado
Opción B: $ 30 de abono anual más $ 2 por video alquilado
Hallar para cada opción la expresión del precio a pagar en función del número X de videos alquilados y representarlas en un mismo gráfico. Si el cliente dispone de $90 ¿cuántos videos puede alquilar con cada una de las opciones?
4) Sean f(x) = e
g(x) = e
determinar
los valores de x
para los cuales f(x) = g(x)