Altillo.com > Exámenes > UBA - CBC > Matemática
|
Matemática |
1º Parcial |
2º Cuat. de 1999 |
Altillo.com |
1) Hallar la distancia entre el punto P = (-1,2) y el vértice de la parábola f(x) = 3x² - 12x +11.
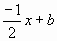
2) Sea f la función polinómica de grado 3 cuyo gráfico corta al eje X en –4, 2 y 3 y pasa por el punto (-1,4). Hallar f y determinar los intervalos de positividad y negatividad de f.3) Dadas f(x) =
y g(x) = - x² +16x –11 , determinar b
tal que los gráficos de f y g se corten en el punto P = (3,-2) ¿En qué otro
punto se cortan?
4) Hallar todos los x
que sean solución de la ecuación 2sen²x – senx = 0.