Altillo.com > Exámenes > UBA - CBC > Matemática
|
Matemática |
Final |
Tema 1 |
Julio de 1999 |
Altillo.com |
1)
e
,
,
.
Entonces
a)
b)
c)
d) 
2) Los valores de a para los cuales
son:
a) 3 y 0
b) -1 y 0
c) -1 y 3
d) 0, -1 y 3
3) La ecuación de la recta que tiene pendiente 2 y corta a la recta y = 5x
en el punto de la abscisa
es:
a) y = 2x
b)
c)
d) 
4) La parábola de ecuación
se corta con la recta de ecuación y = -x + 4 para:
a)
b) x = -1 y x = -6
c) x = 6 y x = 1
d) 
5)
mide una población de conejos, para t medido en meses. Esta población
comienza a decrecer a partir del mes número:
a) 120
b) 70
c) 140,014
d) 141
6) La función
es creciente en
a)
b)
c)
d) ningún intervalo
7) Si D es el dominio y P el conjunto de positividad de
,
entonces:
a)
b) 
c)
d) 
8) En el intervalo
la cantidad de raíces de la ecuación
,
es:
a) 1
b) 2
c) 4
d) 3
9) Si
y fax) = 3x, entonces (gof) (x) =
a)
b)
c)
d) 
10) La recta y = 6 es asíntota horizontal de
para
a)
b) a = 3
c)
d) a = 2
11) La recta tangente a la gráfica de
en el punto
tiene ecuación:
a)
b) y = 14x - 6
c)
d) y = 14
12) Si
y f(0) = 6, entonces f(x) =
a)
b)
c)
d) 
13)
es igual a
a) 0
b) sen x
c) - sen x
d) 3
14) La función inversa
es 
a)
b)
c)
d) 
15) Si la derivada de f(x) es
,
entonces f alcanza máximos y mínimos relativos solo en
a) x = 1
b) x = 6
c) x = -1 y x = 3
d) x =
-1 y x = 6
16) El polinomio 
a) no tiene raíces
b) se anula solo en x = -1
c) se anula en x = -1 y en x = 2
d) se anula en x = -1/2
y en x = -1
17)
satisface la relación
.
Entonces:
a) a = -3
b)
c) a = 3
d) ![]()
18) Si
,
entonces 
a) -3/2
b) -3
c) 9/2
d) 3/2
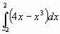
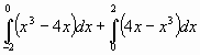
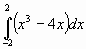
19) El área de la región encerrada entre las curvas
e y = 4x es:
a)
b) 
c)
d) 
20) Si
,
entonces f ‘(x) es igual a:
a)
b) ![]()
c)
d) 
Respuestas
![]()