Altillo.com > Exámenes > UBA - CBC > Matemática
|
Matemática |
Final |
Diciembre de 1998 |
Altillo.com |
1) La función inversa de f(x) = ln(
con (x > 1) es f
=
a) (1 + e![]()
b) ![]()
c) e![]()
d) e
2) Si f(x) = N.a
con a > 0 y además f(2) = 12 y f(1) = 6
a) N = 4 y a = 3
b) N = 3 y a = 4
c) N = 1 y a = log![]()
d) N = -1 y a = 2
3) La distancia entre los puntos (-a, 1) y (5, -a) es 4 para:
a) a = -1 , a = 5
b) a = 1 , a = 2
c) a = 1 , a = 0
d) a = -1 , a = -5
4) Si f:
es
f(x) = 5 – 3.sen(7x), entonces su imagen es:
a) ![]()
b) ![]()
c) ![]()
d) ![]()
5) Si A = { x
, entonces:
a) 
b) 2 
c) 4![]()
d) 0![]()
6) Para que X = -2 sea raíz de x³ + 3x² + 2x + k , k tiene que valer:
a) –2
b) –16
c) 0
d) 4
7) La parábola Y = -(x – 3)² + 5 se corta con la recta Y = - x + 6 sólo
en:
a) (-8,14) y (1,5)
b) (5,1) ; (2,4) y (1,0)
c) (2,4)
d) (2,4) y (5,1)
8) En el intervalo
, las soluciones de la ecuación 6.senx = 3 son:
a) Ninguna
b) 5
c) 4
d) Infinitas
9) La función f(x) = (x + 3).(x – 2)².(x – 6) es positiva en:
a) (2,+![]()
b) (- ![]()
c) (- ![]()
d) (0,2)
10) La recta que pasa por los puntos (1,2) y (5,7) también pasa por:
a) (1,5)
b) (1,1)
c) (9,12)
d) (-3,7)
11) Si f(x) = x.e
, entonces f
=
a) –2.x.e![]()
b) (1 – 2x²).e![]()
c) (1 + x).e![]()
d) e![]()
12) Si f(x) =
y f´(0) = 1, entonces "a" =
a) – 3
b) 0
c) 6
d) – 6
13) Si la derivada de f(x) es f´(x) = x².(x – 3), entonces:
a) f tiene un mínimo relativo en x = 3 y carece de máximo relativo
b) f tiene un máximo relativo en x = 3 y carece de mínimo relativo
c) f no tiene extremos relativos
d) f tiene un mínimo relativo en x = 3 y un máximo relativo en x = 0
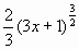
14) Si f es tal que f´(x) = ( 3x + 1)
y f (0) = 1, entonces f(x) =
a) ![]()
b) ![]()
c) ![]()
d) ![]()
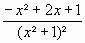
15) Si f(x) =
, la ecuación de la recta tangente (-1,f (-1) ) es:
a) Y = ![]()
b) Y = -1/2
c) Y = 0
d) Y = -1/2.(x + 1) - 1
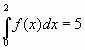
16) Si
, entonces
=
a) –1
b) 0
c) 5/3
d) 13
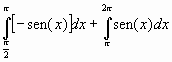
17) El área de la región limitada por la curva Y = sen(x) , las rectas x =
, x = 2
y el eje X
es igual a:
a)
- 
b) 
c) 
d) 
18) f(x) = 7x³ + 4x² + 4x – 3 tiene alguna raíz real en el intervalo
a) (0,1)
b) (1,2)
c) (-2,-1)
d) (-1,0)
19) Dada f(x) = 3 +
, si D es su dominio e I su imagen, entonces:
a) D =
e I = ![]()
b) D =
e I = ![]()
c) D =
e I = ![]()
d) D =
e I = ![]()
20) Si f(x) = x – 1 y g(x) = x² + 1, entonces la parábola de ecuación Y
= (gof)(x) tiene vértice en el punto:
a) (-1,1)
b) (0,1)
c) (1,1)
d) (0,0)
Respuestas