Altillo.com > Ex�menes > UBA - CBC > Matem�tica
|
Matem�tica |
1� Parcial |
Tema 3 |
1� Cuatrimestre |
Altillo.com |
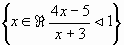
Representar en la recta num�rica y escribir como intervalo o uni�n de intervalos:
![]()
La evoluci�n de las ganancias (en millones de pesos) de una empresa est�
representada por la funci�n f (t)=
donde t es el tiempo de existencia de la empresa medido en meses. Determinar
en qu� intervalo de tiempo la empresa fue deficitaria y en qu� momento se
produjo en mayor d�ficit.
Hallar: el dominio, la imagen, los intervalos de positividad de f
(x)=
y graficarla.
Dadas f :
f (x)=
y g:
g(x)=
.
Calcular f
o
g
Respuestas al pie de p�gina.
Respuestas:
2) ![]()
![]()
![]()
3) ![]()
4) ![]()