Altillo.com > Exámenes > UBA - CBC > Física

Física

1o Parcial

Sede: Escobar 1° Cuat. de 2011

Altillo.com

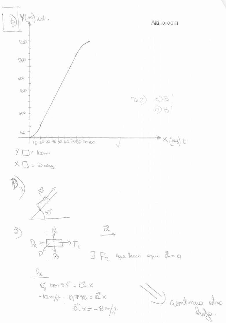
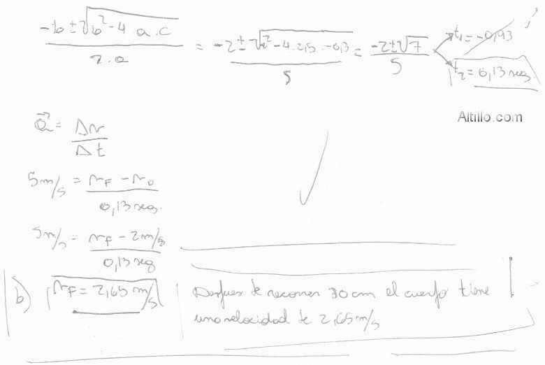
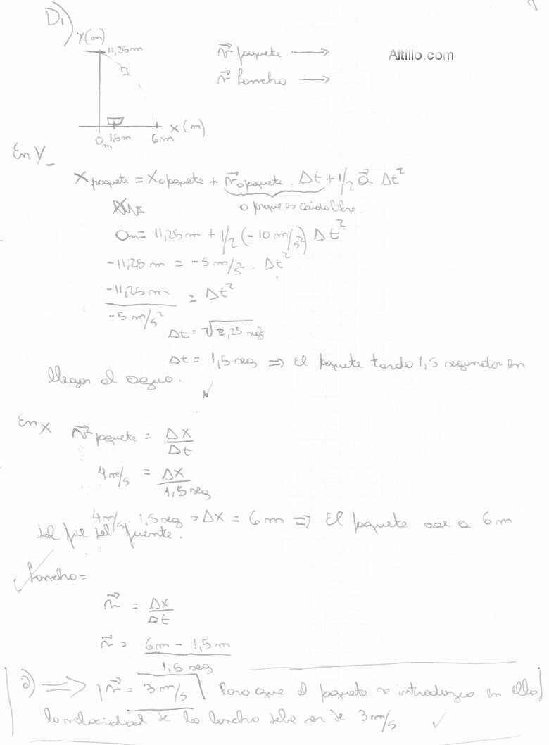
1)