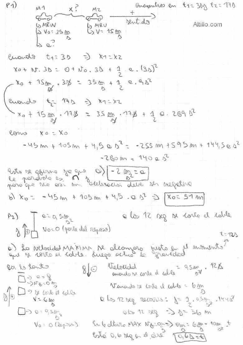
Altillo.com > Exámenes > UBA - CBC > Física

Física

1o Parcial

1° Cuat. de 2010

Altillo.com