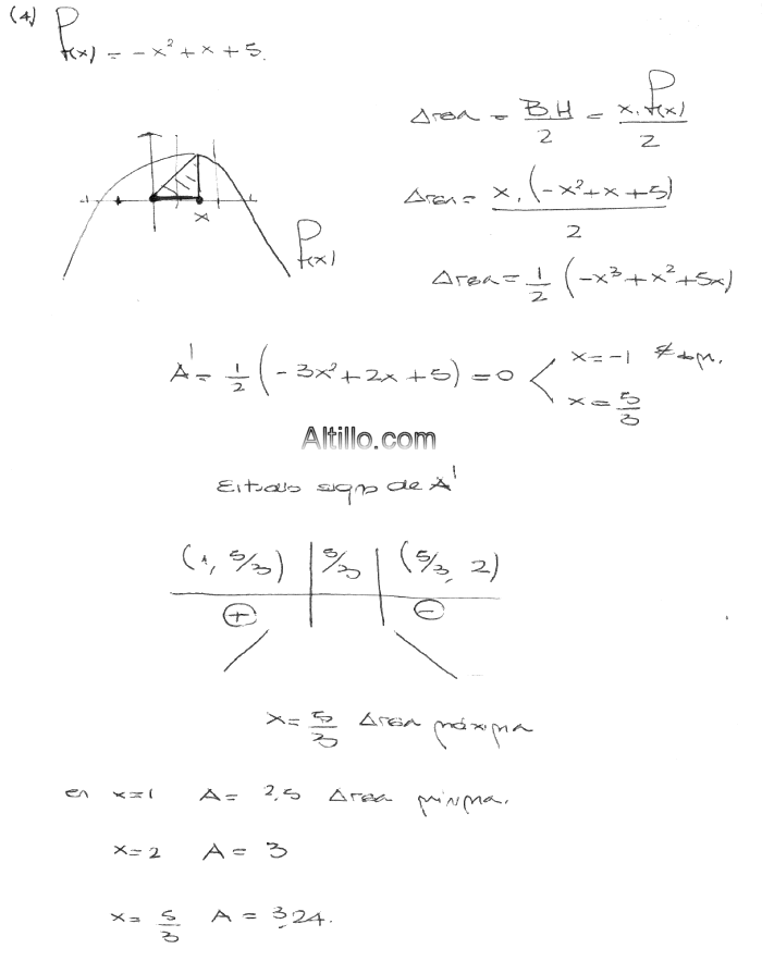
Altillo.com > Exámenes > UBA - CBC > Análisis


1° Cuat. de 2014  |  1° Parcial (P)