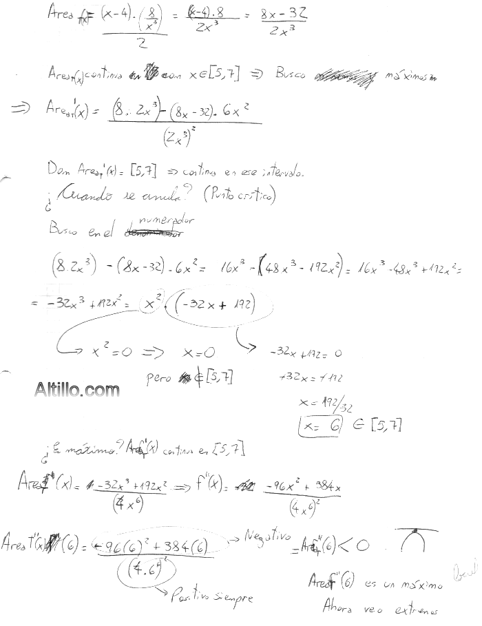
Altillo.com > Exámenes > UBA - CBC > Análisis


2° Cuat. de 2014  |  1° Parcial (J)  |  Sede: Ciudad Universitaria | Cátedra: Gutiérrez