Altillo.com
>
Exámenes
>
UBA - CBC
>
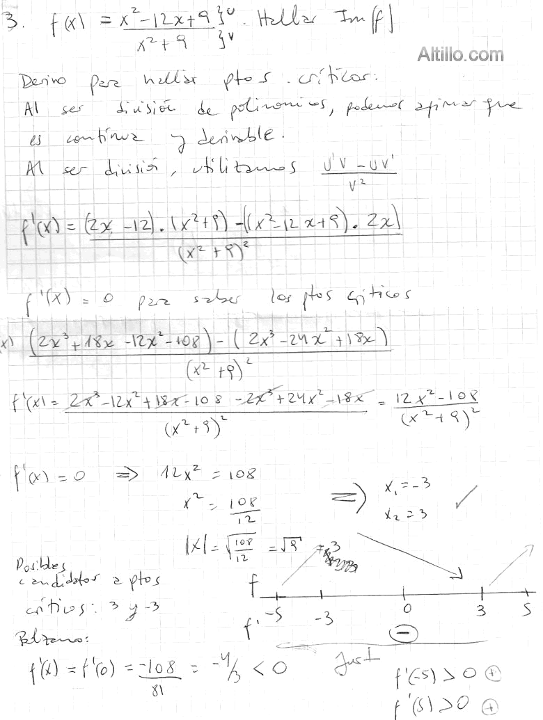
Análisis
Análisis
1º Parcial
Cátedra: única (Gutiérrez)
2º Cuat. de 2012
Altillo.com