Altillo.com > Exámenes > UBA - Ciencias Exactas > Análisis I
|
Análisis I |
2° Parcial |
Cátedra única |
Sede: Ciudad Universitaria |
2º Cuat. de 2010 |
Altillo.com |






Respuestas
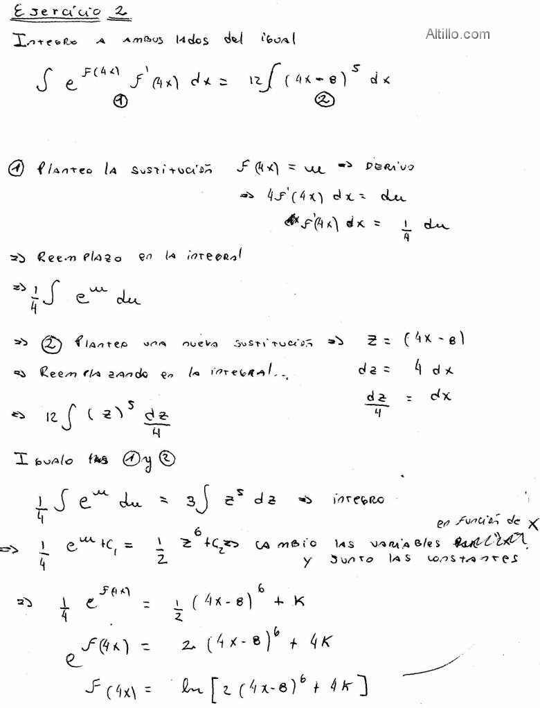
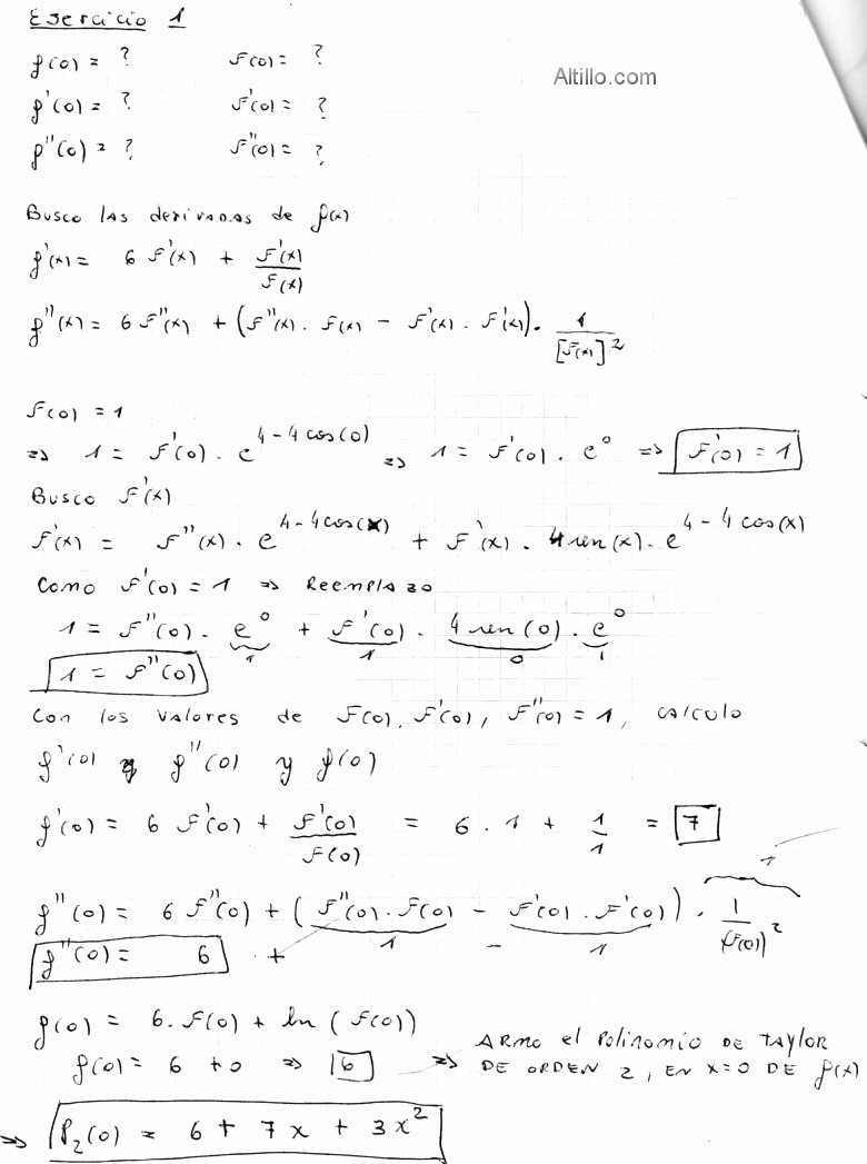
1) P2(0) = 6 + 7X + 3(X)^2
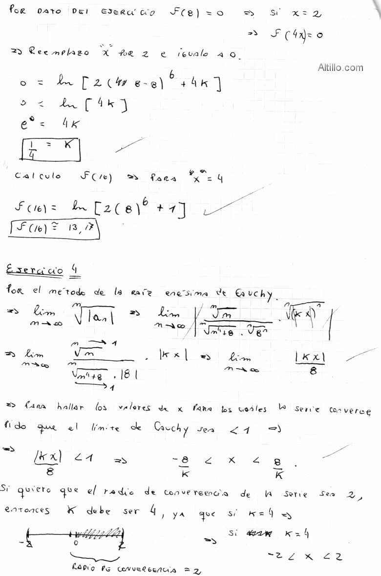
2) F(16) = Ln[ 2 (8)^6 +1]
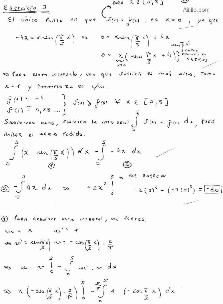
3) Área = 25/Π + 50
4) K = 4 [-2;2]