Altillo.com > Exámenes > UBA - Ciencias Exactas > Análisis I

Análisis I

2° Parcial

Cátedra única

Sede: Ciudad Universitaria

2º Cuat. de 2010

Altillo.com

RESPUESTAS

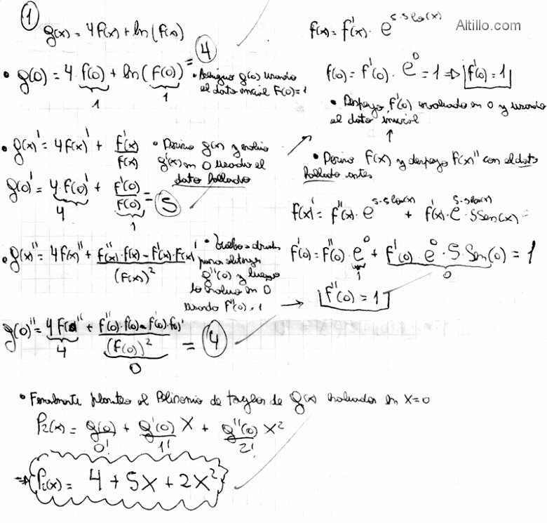
1) P(x) = 4 +5X +2X²


2) f(8) = ln(97) ≈ 4,57


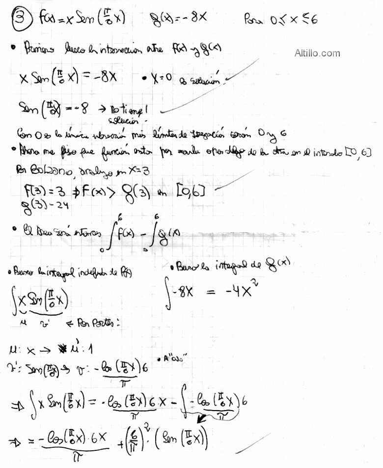
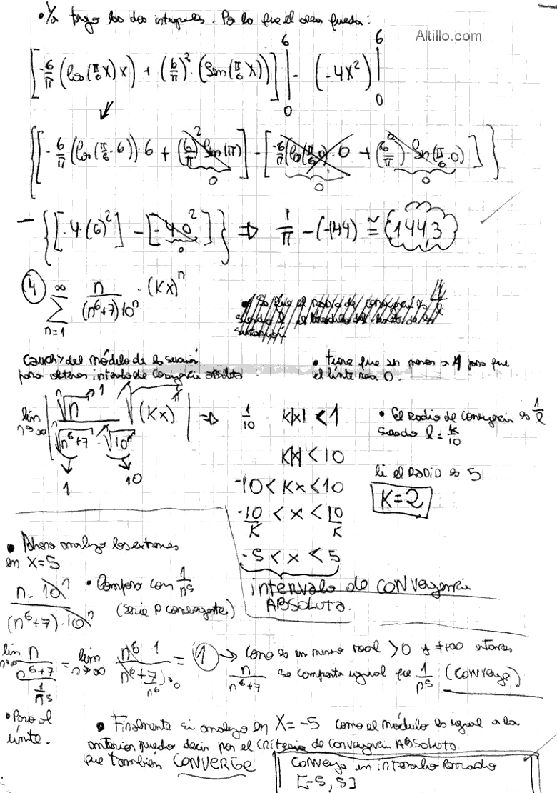
3) Area= 1/π + 144 ≈ 144,3


4) K=2 Converge en [-5,5]