Altillo.com > Exámenes > UBA - CBC > Análisis

Análisis

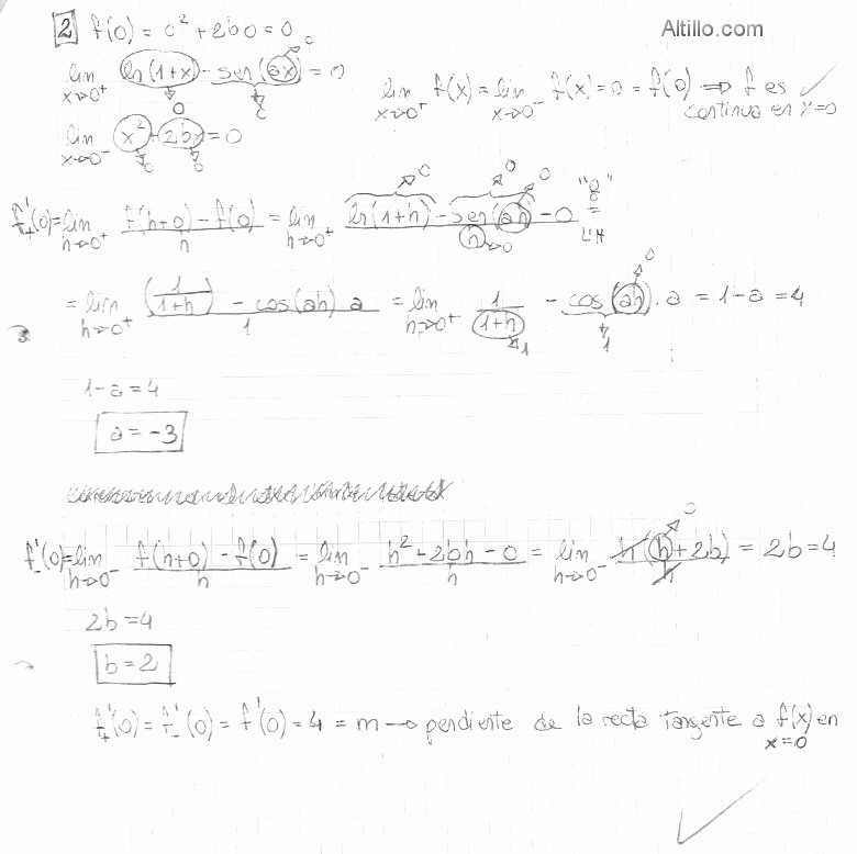
1º Parcial

Cátedra: única (Gutiérrez) Sede: Montes de Oca

2º Cuat. de 2010

Altillo.com