Altillo.com > Exámenes > UBA - CBC > Análisis
|
Análisis |
2º Parcial |
Sede Ciudad |
1º Cuat. de 2005 |
Altillo.com |
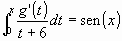
1) Sea
.
Hallar a > 0 tal que ![]()
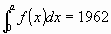
2) Hallar una función
,
con derivada continua tal que
y g(0) = 5
3) Calcular el área comprendida entre la curva
,
la recta y = 4x y el eje x.
4) Analizar la convergencia de la serie
.