Altillo.com > Exámenes > UBA - CBC > Análisis

Análisis

1º Parcial

1º Cuat. de 2003

Altillo.com

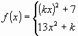
1) Sea definida por    si   con Considere la sucesión an=1-, n. ¿Para qué valores de k resulta .

2) Sea g(x)=x2+4+6ln(x). Halle todos los x tales que la pendiente de la recta tangente al gráfico de g es mayor o igual que 7.

3) Pruebe que 2x2 - + 1 > 0 para todo x.

4) Sea f(x)= . Halle el dominio de f, intervalos de crecimiento, de decrecimiento, extremos locales y haga un gráfico aproximado.


Respuestas:
1)
2)
3) Se toma lo que está antes del signo mayor como una función y se la analiza y es mayor que 0 para todo x mayor que 0 ya que la imagen de dichos x se encuentra por encima del eje x.

4) x = -2 máximo local
x = 0 mínimo local y absoluto
x = -5/2 mínimo absoluto (no lo hallarás con la derivada)
crece en (-5/2;-2) y en (0;)
decrece en (-2;0)