Altillo.com > Exámenes > UBA - CBC > Análisis
|
Análisis |
1º Parcial |
1º Cuat. de 2002 |
Altillo.com |
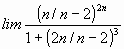
1) Calcular
.
2) Sea g una función tres veces derivable con g(o)= g´(o)=o y g´´(o)=3. Sea
si
.
Calcule usando la definición , f´(2).
3) Para f(x)= 3x2/3 - 4x haga el estudio de función. Y grafique.
4) Halle las coordenadas del pto de la curva y = 3xln(x) - 1/8 x3 , con x e (0 ,
), donde la pendiente de la recta tangente sea máxima.
Solución
1) 