Altillo.com > Exámenes > UBA - CBC > Análisis
|
Análisis |
1º Parcial |
Sede Ciudad |
1º Cuat. de 2002 |
Altillo.com |
En cada ejercicio escriba los razonamientos que justifican la respuesta.
1) Sea bn una sucesión tal que bn > (1,7)n para todo n >=
15.
Calcular
2) Sea
si ![]()
3) Demuestre que 2x+ Ln (1+3x) >= 4x - 9/2x2 para todo x>=0.
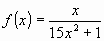
4) Sea
definida
por
.
Dados los puntos A=(0,1)
B=(x,0)
C=(x, f(x))
(x pertenece [0,1])
Hallar las coordenadas del punto C para que el área del triángulo ABC sea máxima. Dar las razones que permitan asegurar que el triángulo hallado es efectivamente el de área máxima.