Altillo.com > Exámenes > UBA - CBC > Análisis

Análisis

1º Parcial

Sede Ciudad

1º Cuat. de 2001

Altillo.com

1- Pruebe, usando subsucesiones, que la sucesión: No tiene límite

2- Para que valores de y vale que ?

3- Dada , demostrar que si se cumple que

4- Un fabricante desea construir ventanas de 10,8 m2. Para los marcos verticales utiliza un material que cuesta $6/m. Y para los horizontales uno que cuesta $5/m. Hallar las dimensiones de la ventana para que el costo sea mínimo.

Respuestas abajo


Respuestas
1) y
2) y
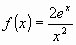
3) f´(x) = (2.x².ex – 4.x.ex)/x4

X

1

(1;2)

2

(2;4)

4

f´(x)

<0

<0

0

>0

>0

f(x)

2e

e²/2

e4/8

4) C(b)= 10.b + 129,6/b
C´(b)= 10 – 129,6/b²
C´´(b)= 259,2/b³
Base= 3,6 m y altura= 3 m