Altillo.com > Exámenes > UBA - CBC > Análisis
|
Análisis |
1º Parcial |
1º Cuat. de 2001 |
Altillo.com |
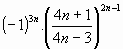
1- Pruebe, usando subsucesiones, que la sucesión:
![]()
No tiene límite
2- Para que valores de
y
vale que
?
3- Dada
,
demostrar que si
se
cumple que ![]()
4- Un fabricante desea construir ventanas de 5,4 m2. Para los marcos verticales utiliza un material que cuesta $5/m. Y para los horizontales uno que cuesta $3/m. Hallar las dimensiones de la ventana para que el costo sea mínimo.