Altillo.com > Exámenes > UBA - CBC > Análisis
|
Análisis |
2º Parcial |
1º Cuat. de 2000 |
Altillo.com |
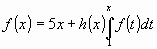
1) Sea una función que satisface la siguiente ecuación integral
![]()
donde h es una función cuyo polinomio de Taylor de orden 2 en x = 1 es p(x) = 3
- 2(x - 1) + 5(x - 1)2. Encuentre el polinomio de Taylor de orden 2
en x = 1 de f.
2) Encuentre una función
sabiendo que f(0) = 2 y tal que f(x) , f '(x) = 2x2 + 3.
3) Calcule el área comprendida entre los semiejes positivos, la curva
y la recta tangente a dicha curva en x = 5, de ecuación
.
4) Sea (an) una sucesión de números positivos tal que
.
Halle el radio de convergencia de la serie
.
Indique, en cada caso, las propiedades y criterios que usa para obtener sus
conclusiones.
Respuestas
1) ![]()
2) ![]()
3) ![]()
4) ![]()