Altillo.com > Ex�menes > UBA - CBC > An�lisis
|
An�lisis |
1� Parcial |
Tema 4 |
2� Cuat. 1998 |
Altillo.com |
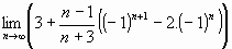
1) Calcular, si existe,
.
En caso de no existir el l�mite, justificar adecuadamente la respuesta.
2) Mediante el estudio de los cocientes incrementales, estudiar la
derivabilidad de la funci�n f en
,
siendo

3) Sea
una funci�n derivable tal que
y
Probar que
![]()
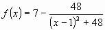
4_a) Estudiar m�ximos y m�nimos locales, intervalos de crecimiento y
decrecimiento, concavidades y as�ntotas de ![]()
Hacer un gr�fico aproximado de ![]()
4_b) Hallar un m�ximo valor de
y el m�nimo valor de
tales que
![]()
Respuestas:
1)
ya que dos sucesiones no podr�an tener el mismo l�mite
2) No existe el l�mite de ![]()
3) Es siempre positiva, ya que como
,
es positiva en todo
.
El valor m�ximo lo deber� tomar en
,
como ese valor es ![]()
![]()
y por lo tanto, la funci�n nunca vale cero en ese intervalo.
4_a) Tiene m�nimo en 1.
Decrece en:
.
Crece en:
.
es
convexa.
es
c�ncava.
La as�ntota horizontal es
.
4_b) La funci�n est� acotada superiormente por 7 e inferiormente por
,
entonces: ![]()
Contestamos:
![]()
