Altillo.com
>
Exámenes
>
UBA - CBC
>
Análisis
1º Parcial A
|
Análisis Matemático (2018)
|
CBC
|
UBA
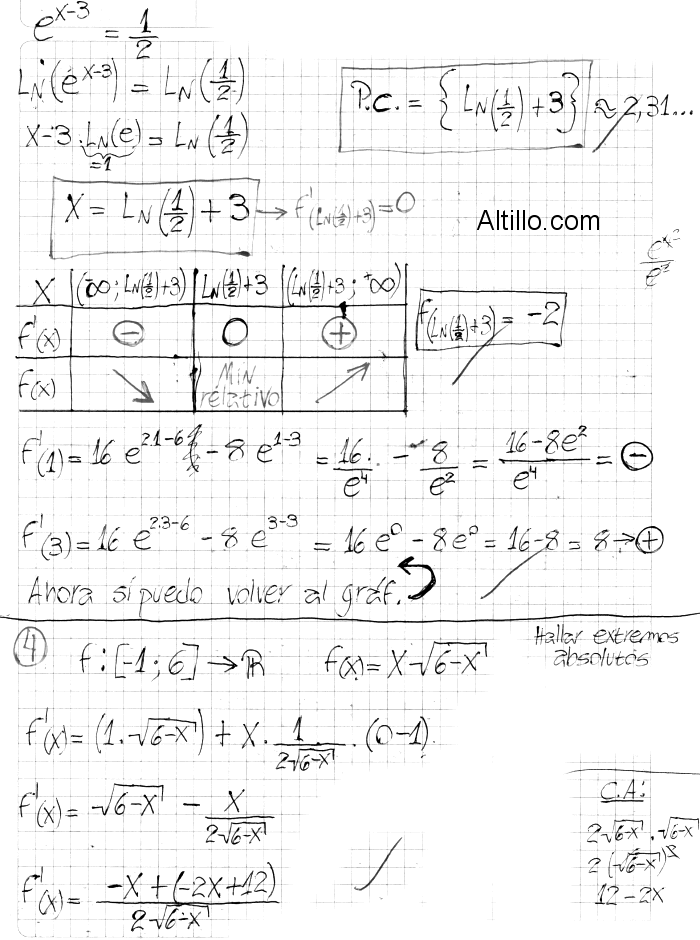
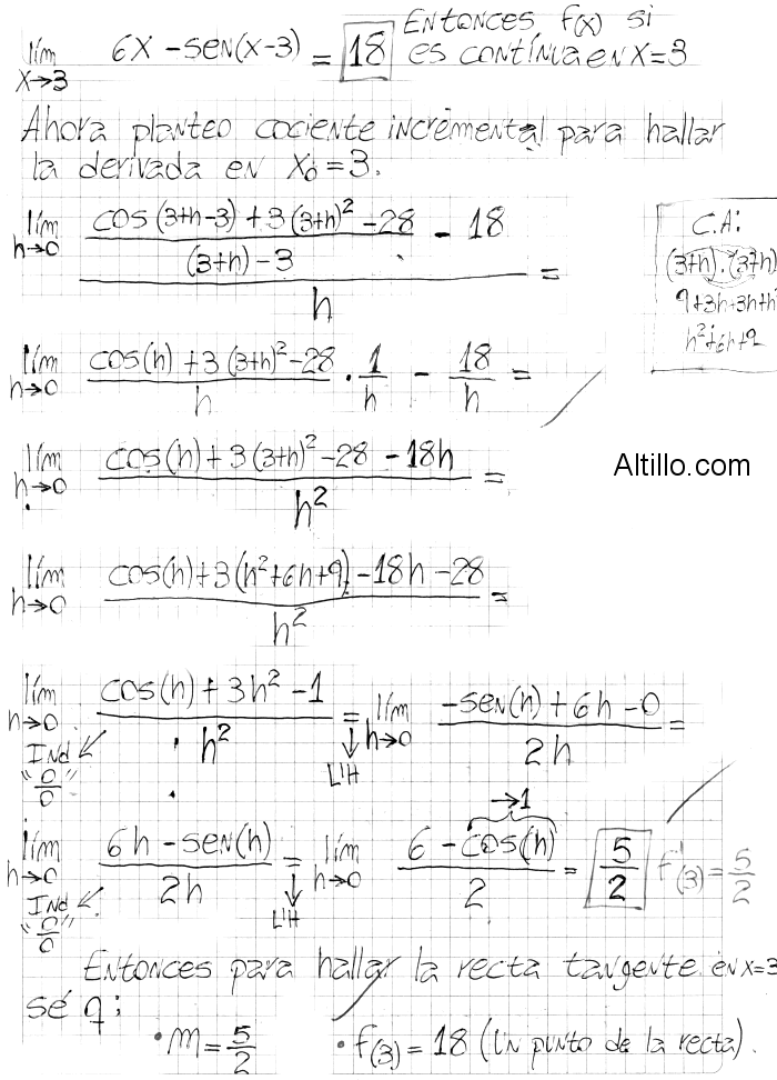
Preguntas y Respuestas entre Usuarios: