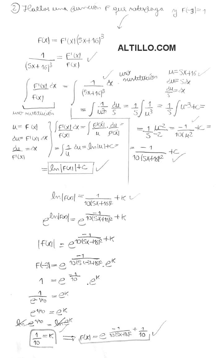
Altillo.com > Exámenes > UBA - CBC > Análisis


2º Parcial G  |  Análisis Matemático (2022)  |  CBC  |  UBA








 

Preguntas y Respuestas entre Usuarios: