Altillo.com > Exámenes > UBA - CBC > Análisis


2º Parcial T  |  Análisis Matemático (2019)  |  CBC  |  UBA











 

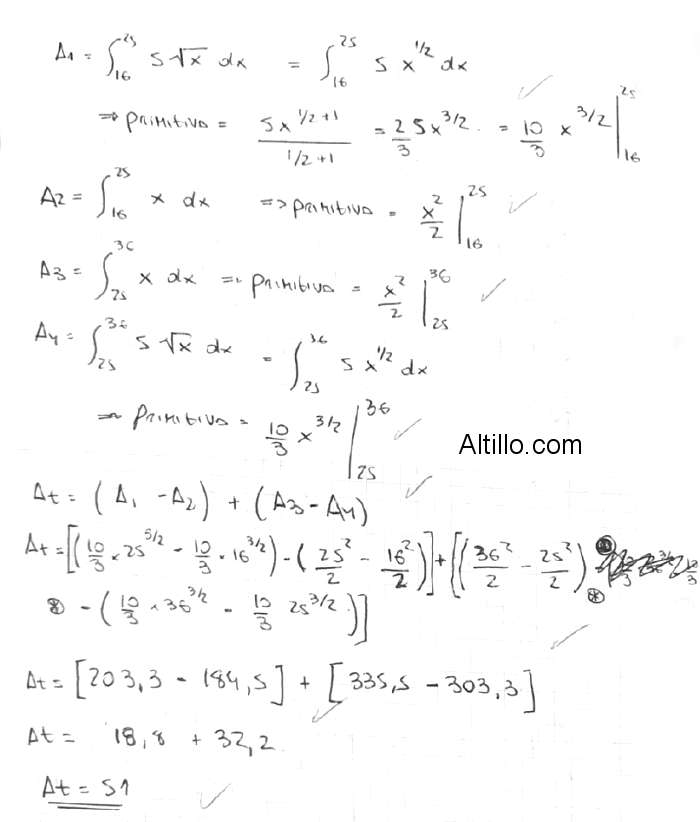
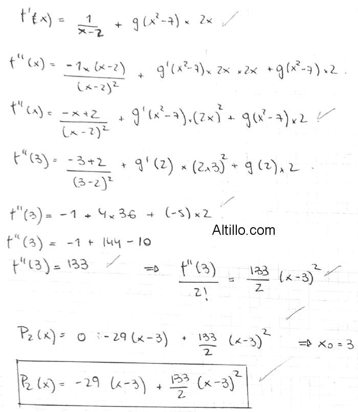
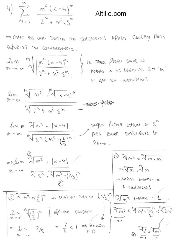
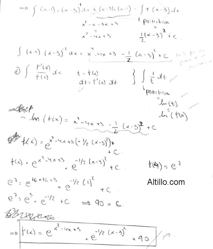
Preguntas y Respuestas entre Usuarios: