Altillo.com
>
Exámenes
>
UBA - CBC
>
Análisis
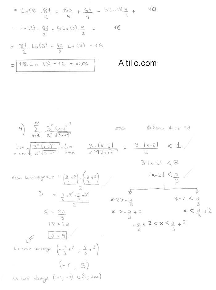
2º Parcial B
|
Análisis Matemático (2016)
|
CBC
|
UBA
Preguntas y Respuestas entre Usuarios: