Altillo.com > Exámenes > UBA - CBC > Análisis


1º Parcial F  |  Análisis Matemático (Profesores: Ezequiel Martin y Jorge Di Paola - 2016)  |  CBC  |  UBA






 

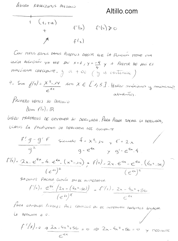
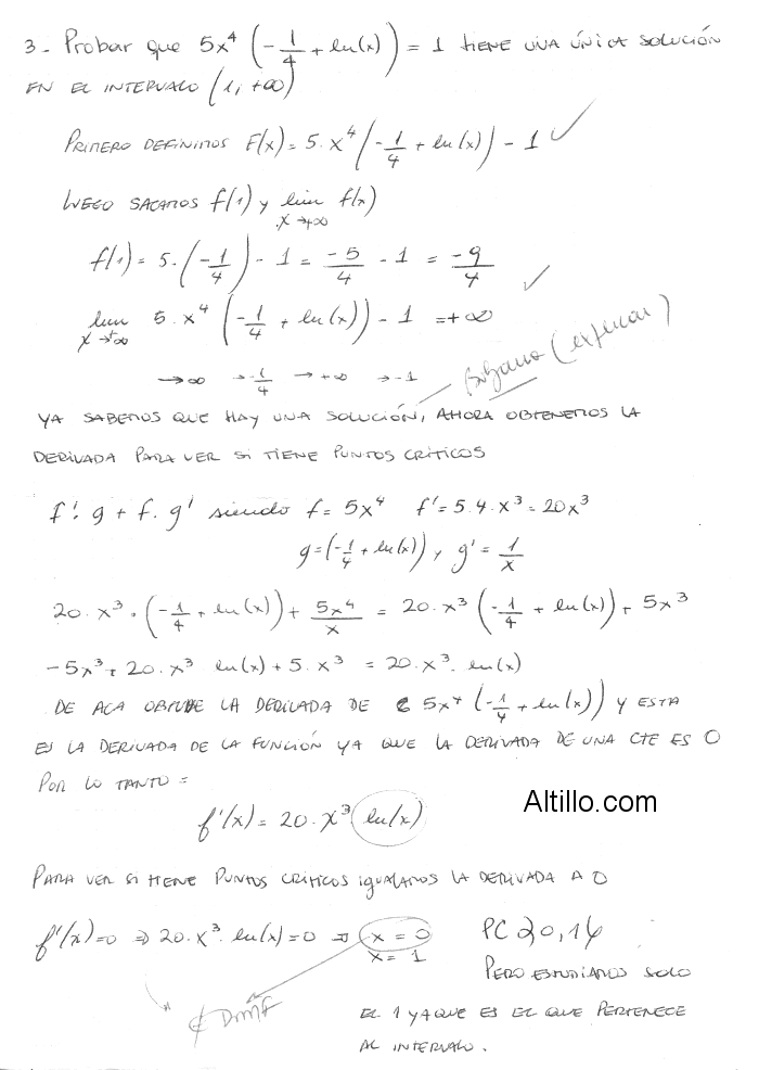
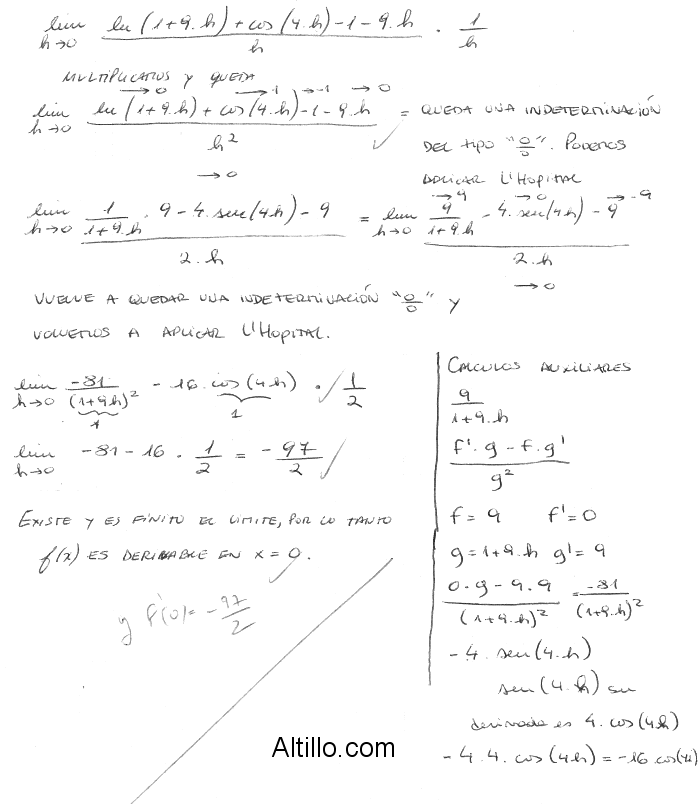
Preguntas y Respuestas entre Usuarios: