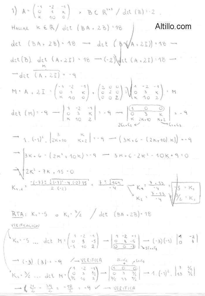
Altillo.com > Exámenes > UBA - CBC > Álgebra


2º Parcial C  |  Algebra (2019)  |  CBC  |  UBA





 

Preguntas y Respuestas entre Usuarios: