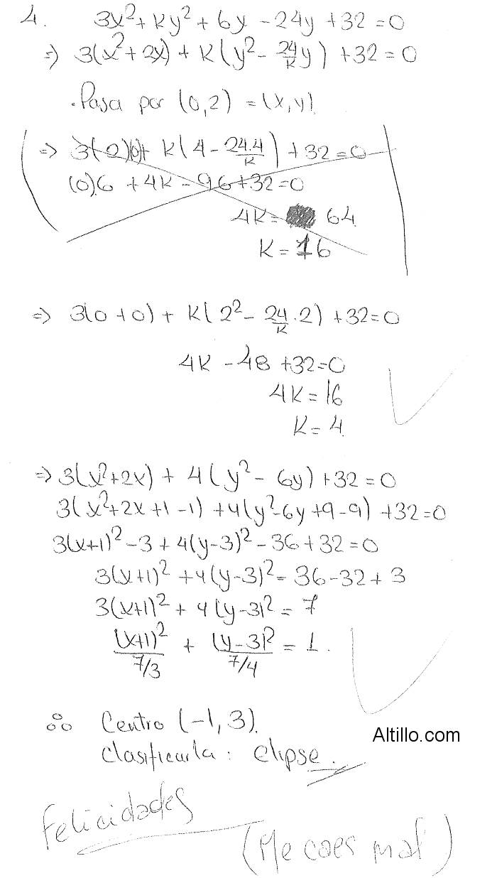
Altillo.com > Exámenes > UBA - CBC > Álgebra


Final E  |  Algebra (2016)  |  CBC  |  UBA



 

Preguntas y Respuestas entre Usuarios: