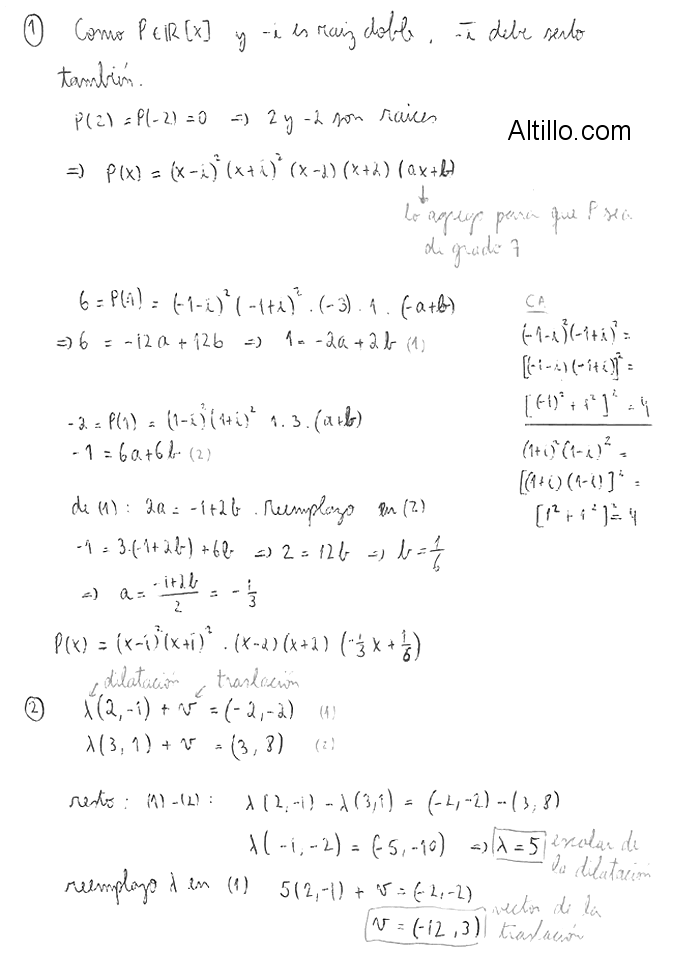
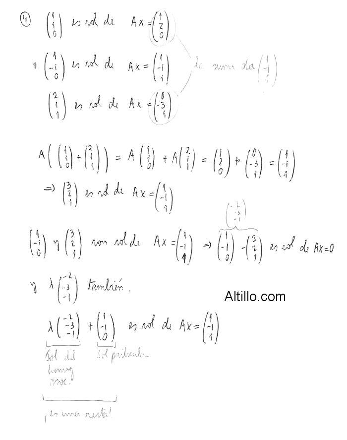
Altillo.com > Exámenes > UBA - CBC > Álgebra


1º Parcial C  |  Algebra (2016)  |  CBC  |  UBA




 

Preguntas y Respuestas entre Usuarios: