Altillo.com > Exámenes > UBA - CBC > Álgebra


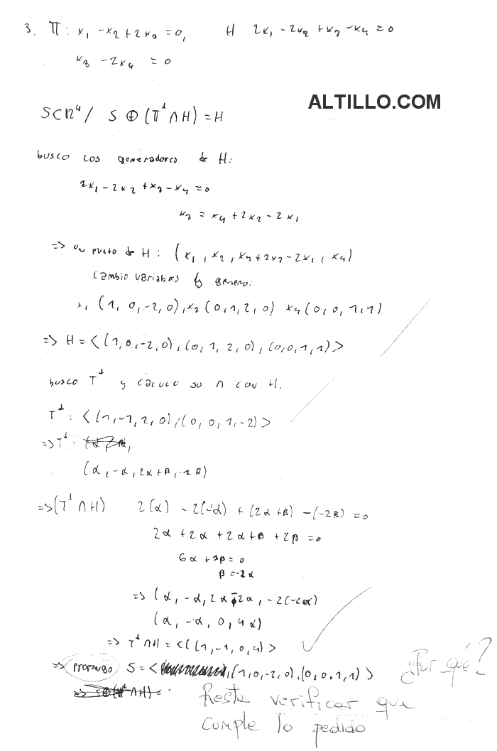
1º Parcial F  |  Algebra (2022)  |  CBC  |  UBA






 

Preguntas y Respuestas entre Usuarios: