Altillo.com
>
Exámenes
>
UBA - CBC
>
Álgebra
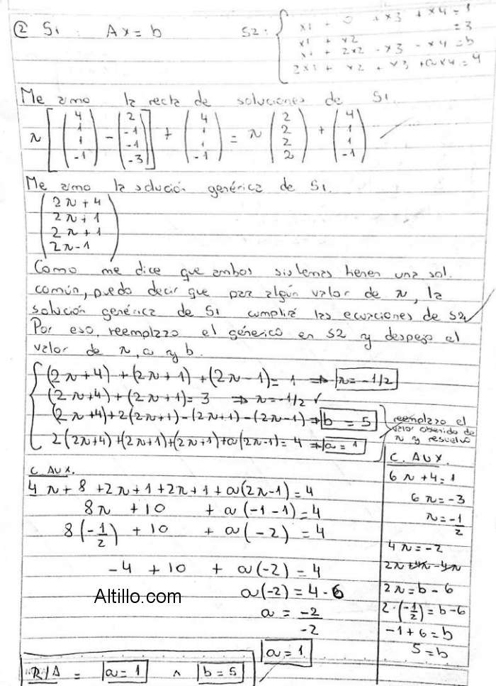
1º Parcial J
|
Algebra (2019)
|
CBC
|
UBA
Preguntas y Respuestas entre Usuarios: