Altillo.com > Exámenes > UBA - CBC > Álgebra


1º Parcial E  |  Algebra (2019)  |  CBC  |  UBA






 

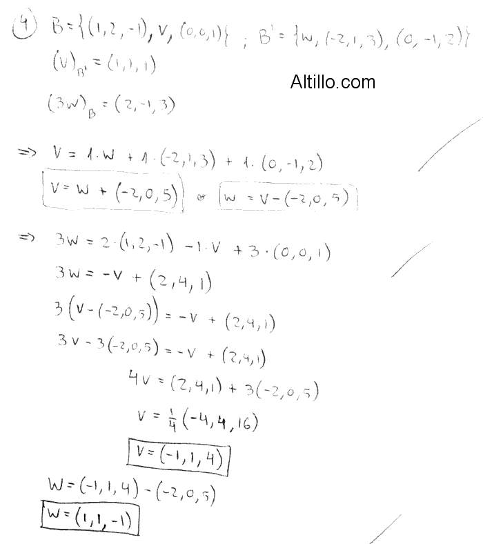
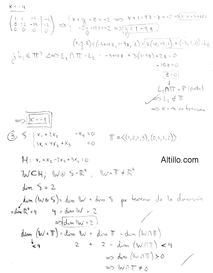
Preguntas y Respuestas entre Usuarios: