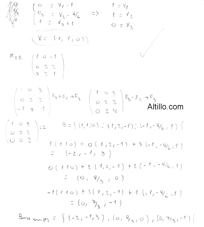
Altillo.com > Exámenes > UBA - CBC > Álgebra


2º Parcial A  |  Algebra (2018)  |  CBC  |  UBA








 

Preguntas y Respuestas entre Usuarios: