Altillo.com > Exámenes > UBA - CBC > Álgebra


1º Parcial C  |  Algebra (2018)  |  CBC  |  UBA








 

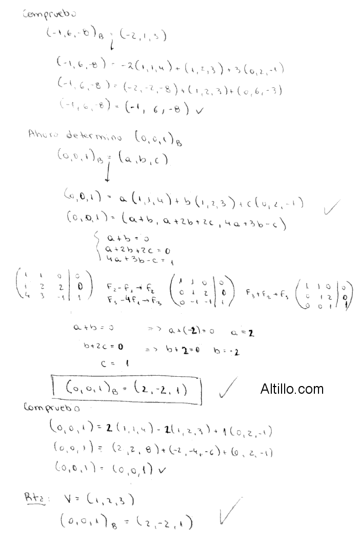
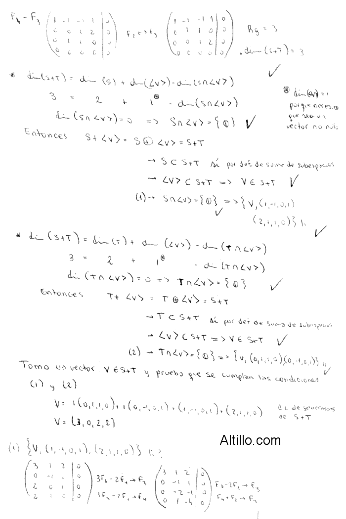
Preguntas y Respuestas entre Usuarios: