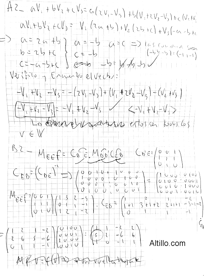
Altillo.com > Exámenes > UBA - CBC > Álgebra


Recuperatorio A  |  Algebra (2017)  |  CBC  |  UBA





 

Preguntas y Respuestas entre Usuarios: