Altillo.com > Exámenes > UBA - CBC > Álgebra


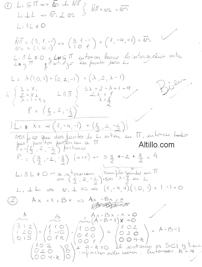
1º Parcial F  |  Algebra (2015)  |  CBC  |  UBA (Sede Montes de Oca)




 

Preguntas y Respuestas entre Usuarios: