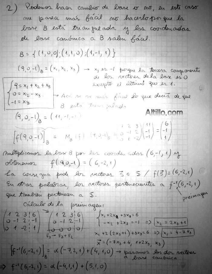
Altillo.com > Exámenes > UBA - CBC > Álgebra


2° Cuat. de 2014  |  2° Parcial (H)  |  Sede: Drago  |  Profesor: Juan Manuel e Inés