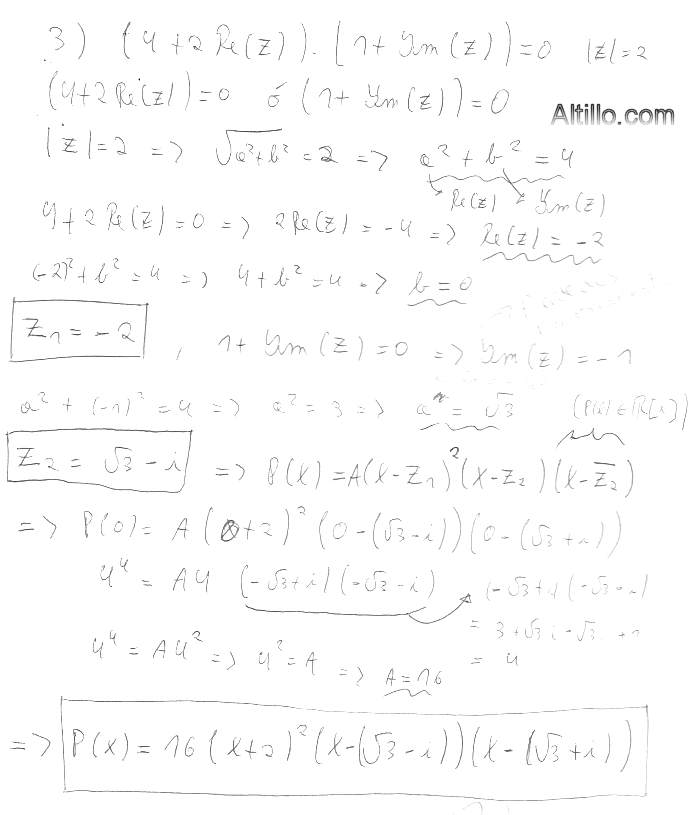
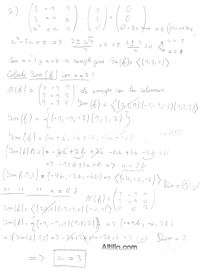
Altillo.com > Exámenes > UBA - CBC > Álgebra


2° Cuat. de 2014  |  2° Parcial (C)  |  Sede: Montes de Oca  | Cátedra: Unica