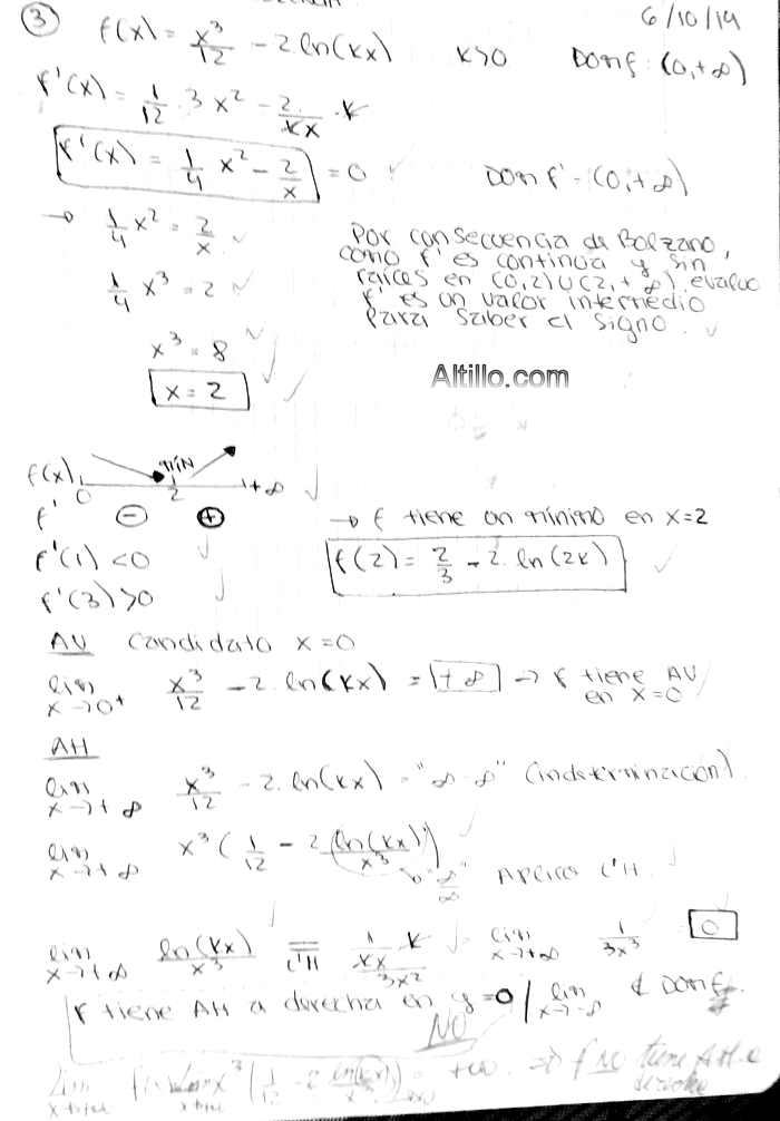
Altillo.com > Exámenes > UBA - CBC > Álgebra


2° Cuat. de 2014  |  1° Parcial (K)  Sede: Ciudad universitariaCátedra: Unica